Официальное опубликование правовых актов
ОФИЦИАЛЬНОЕ ОПУБЛИКОВАНИЕ
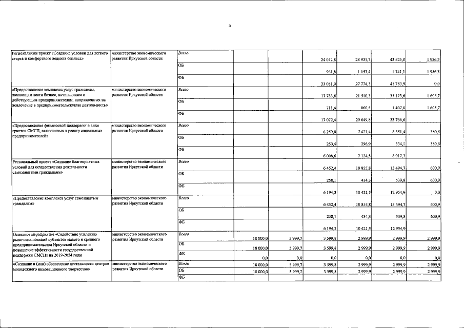
Постановление Правительства Иркутской области от 27.07.2021 № 514-пп
"О внесении изменений в государственную программу Иркутской области "Экономическое развитие и инновационная экономика" на 2019 – 2024 годы"
Номер опубликования: 3800202107300006
Дата опубликования: 30.07.2021
Страница №25 из 54:
Увеличить