Официальное опубликование правовых актов
ОФИЦИАЛЬНОЕ ОПУБЛИКОВАНИЕ
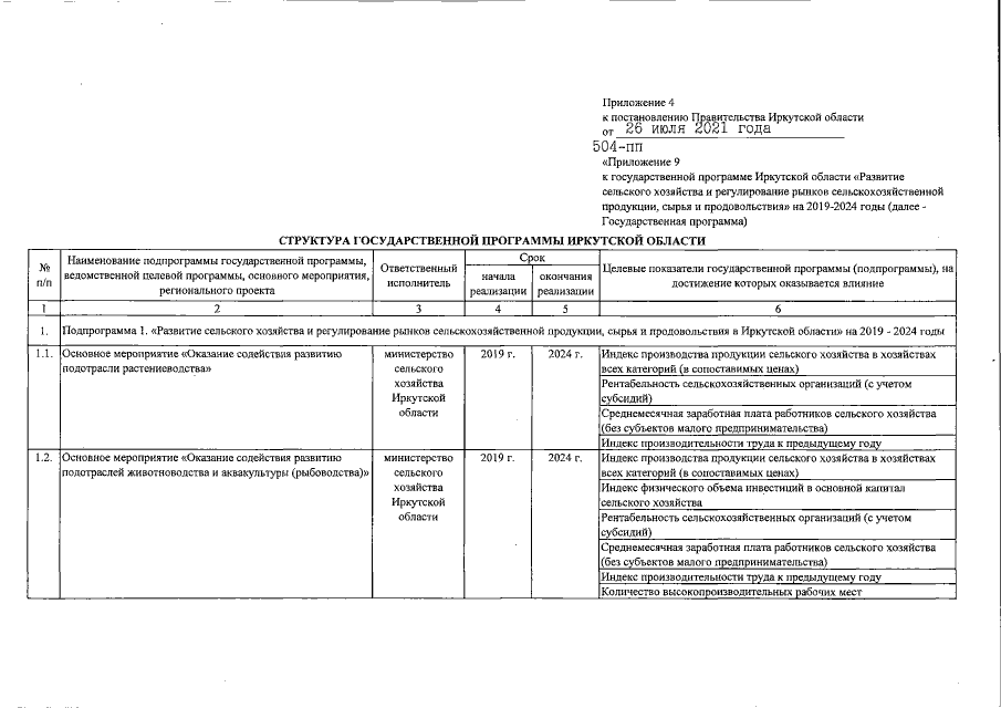
Постановление Правительства Иркутской области от 26.07.2021 № 504-пп
"О внесении изменений в государственную программу Иркутской области "Развитие сельского хозяйства и регулирование рынков сельскохозяйственной продукции, сырья и продовольствия"на 2019 - 2024 годы"
Номер опубликования: 3800202107290004
Дата опубликования: 29.07.2021
Страница №72 из 207:
Увеличить