Официальное опубликование правовых актов
ОФИЦИАЛЬНОЕ ОПУБЛИКОВАНИЕ
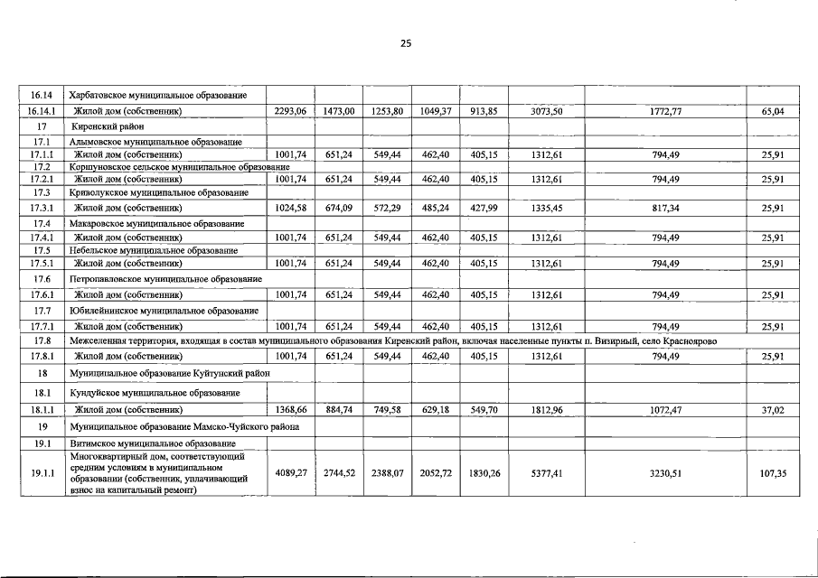
Постановление Правительства Иркутской области от 05.06.2020 № 414-пп
"О размерах регионального стандарта стоимости жилищно-коммунальных услуг, дифференцированной по муниципальным образованиям Иркутской области со способом оплаты коммунальной услуги по отоплению равномерно в течение календарного года, на 2020 год"
Номер опубликования: 3800202006100002
Дата опубликования: 10.06.2020
Страница №26 из 117:
Увеличить