Официальное опубликование правовых актов
ОФИЦИАЛЬНОЕ ОПУБЛИКОВАНИЕ
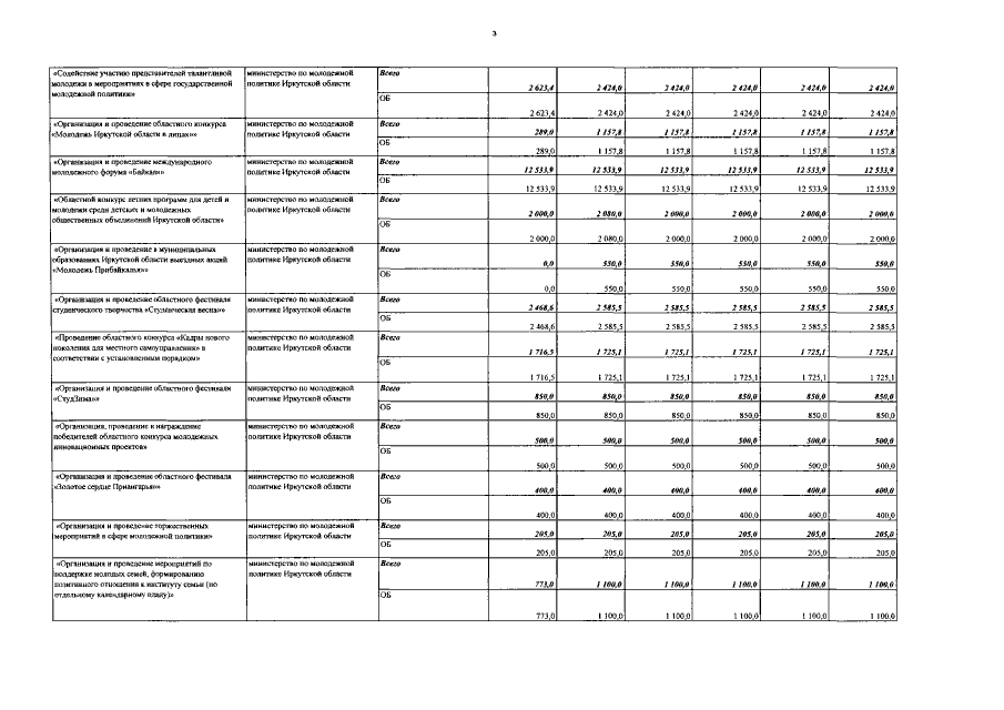
Постановление Правительства Иркутской области от 28.05.2020 № 382-пп
"О внесении изменений в государственную программу Иркутской области "Молодежная политика" на 2019 - 2024 годы"
Номер опубликования: 3800202006020001
Дата опубликования: 02.06.2020
Страница №14 из 39:
Увеличить