Официальное опубликование правовых актов
ОФИЦИАЛЬНОЕ ОПУБЛИКОВАНИЕ
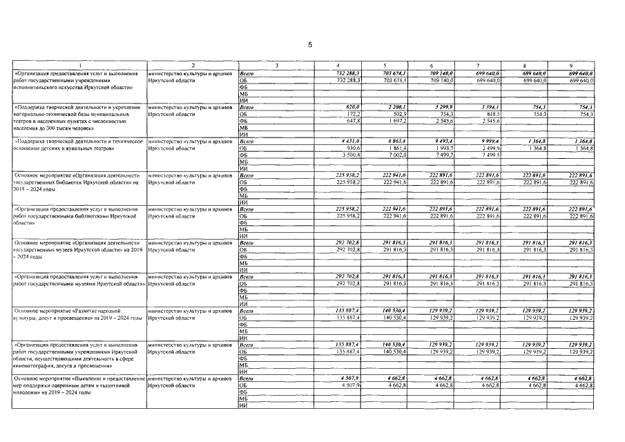
Постановление Правительства Иркутской области от 06.03.2020 № 136-пп
"О внесении изменений в государственную программу Иркутской области "Развитие культуры" на 2019 - 2024 годы"
Номер опубликования: 3800202003160001
Дата опубликования: 16.03.2020
Страница №29 из 45:
Увеличить