Официальное опубликование правовых актов
ОФИЦИАЛЬНОЕ ОПУБЛИКОВАНИЕ
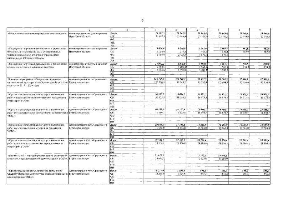
Постановление Правительства Иркутской области от 28.02.2020 № 121-пп
"О внесении изменений в государственную программу Иркутской области "Развитие культуры" на 2019 - 2024 годы"
Номер опубликования: 3800202003060001
Дата опубликования: 06.03.2020
Страница №35 из 49:
Увеличить