Официальное опубликование правовых актов
ОФИЦИАЛЬНОЕ ОПУБЛИКОВАНИЕ
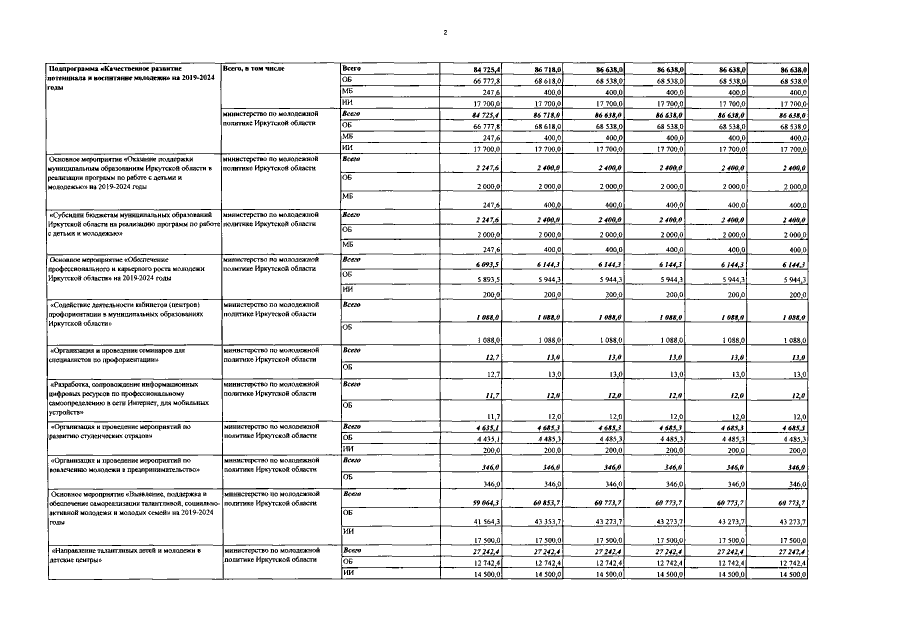
Постановление Правительства Иркутской области от 03.02.2020 № 55-пп
"О внесении изменений в государственную программу Иркутской области "Молодежная политика" на 2019 - 2024 годы"
Номер опубликования: 3800202002050011
Дата опубликования: 05.02.2020
Страница №28 из 40:
Увеличить