Официальное опубликование правовых актов
ОФИЦИАЛЬНОЕ ОПУБЛИКОВАНИЕ
Постановление Правительства Иркутской области от 30.12.2019 № 1139-пп
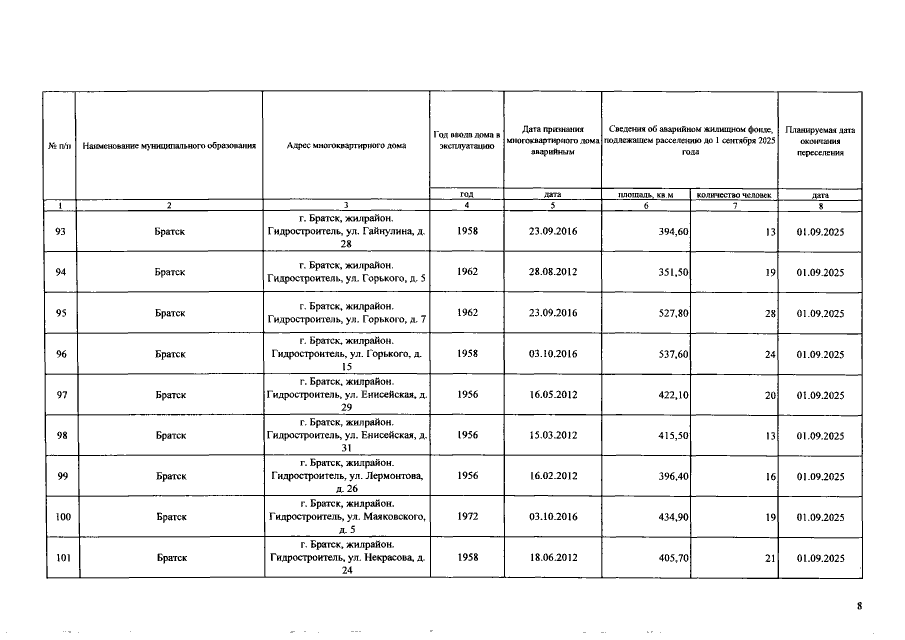
"О внесении изменения в региональную адресную программу Иркутской области "Переселение граждан, проживающих на территории Иркутской области, из аварийного жилищного фонда, признанного таковым до 1 января 2017 года, в 2019 - 2025 годах"
Номер опубликования: 3800201912300008
Дата опубликования: 30.12.2019
Страница №22 из 88:
Увеличить