Официальное опубликование правовых актов
ОФИЦИАЛЬНОЕ ОПУБЛИКОВАНИЕ
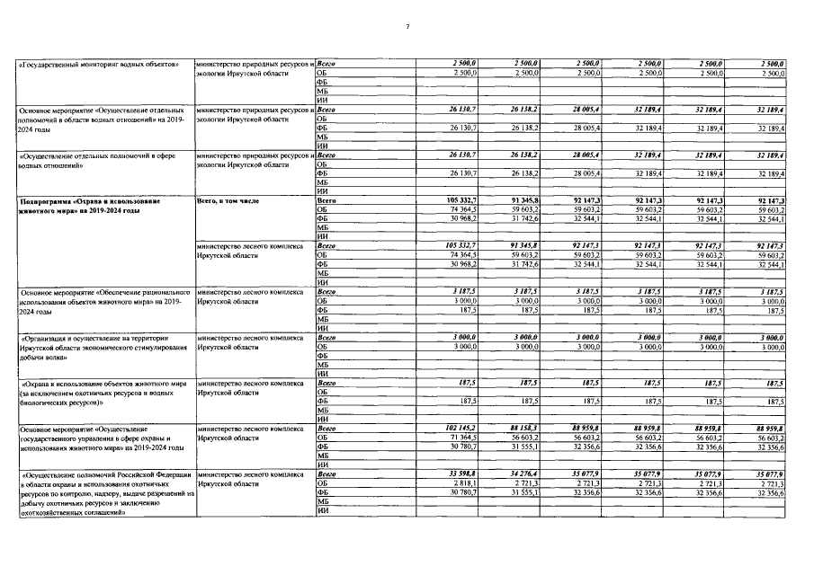
Постановление Правительства Иркутской области от 17.12.2019 № 1097-пп
"О внесении изменений в государственную программу Иркутской области "Охрана окружающей среды" на 2019-2024 годы"
Номер опубликования: 3800201912250006
Дата опубликования: 25.12.2019
Страница №34 из 35:
Увеличить