Официальное опубликование правовых актов
ОФИЦИАЛЬНОЕ ОПУБЛИКОВАНИЕ
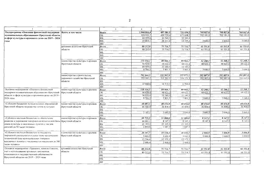
Постановление Правительства Иркутской области от 17.12.2019 № 1095-пп
"О внесении изменений в отдельные постановления Правительства Иркутской области"
Номер опубликования: 3800201912230013
Дата опубликования: 23.12.2019
Страница №28 из 45:
Увеличить