Официальное опубликование правовых актов
ОФИЦИАЛЬНОЕ ОПУБЛИКОВАНИЕ
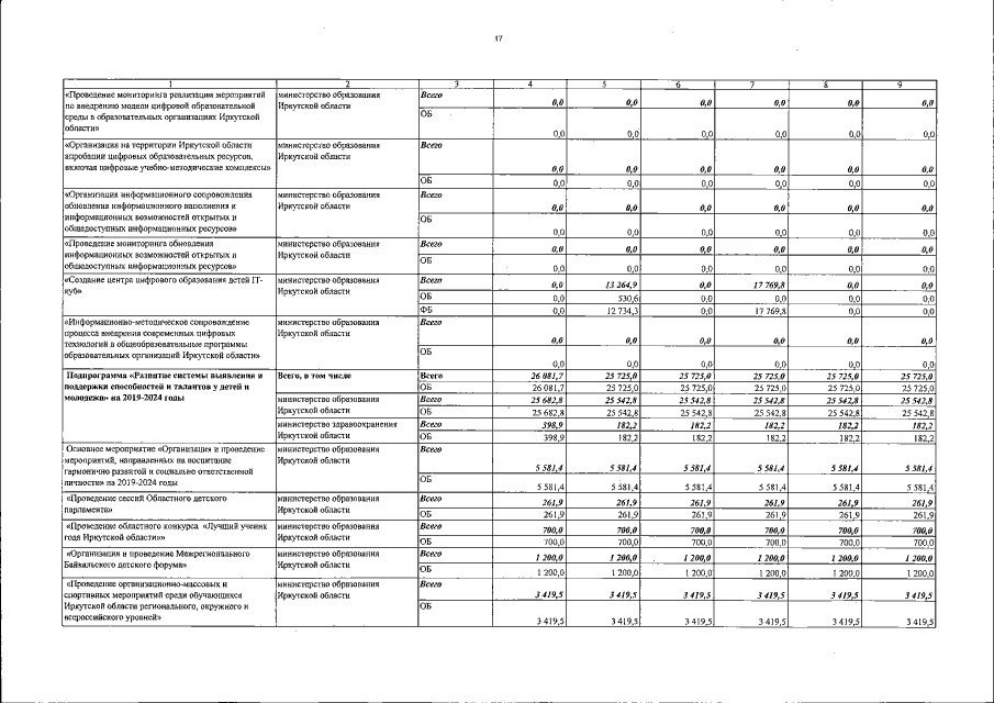
Постановление Правительства Иркутской области от 09.12.2019 № 1047-пп
"О внесении изменений в государственную программу Иркутской области "Развитие образования" на 2019 - 2024 годы и признании утратившим силу постановления Правительства Иркутской области от 25 ноября 2019 года № 986-пп"
Номер опубликования: 3800201912130004
Дата опубликования: 13.12.2019
Страница №80 из 82:
Увеличить