Официальное опубликование правовых актов
ОФИЦИАЛЬНОЕ ОПУБЛИКОВАНИЕ
Постановление Правительства Иркутской области от 25.11.2019 № 1001-пп
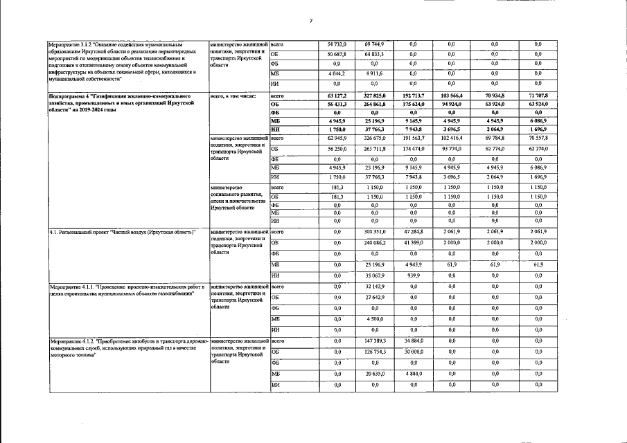
"О внесении изменений в государственную программу Иркутской области "Развитие жилищно-коммунального хозяйства и повышение энергоэффективности Иркутской области" на 2019 - 2024 годы"
Номер опубликования: 3800201912020008
Дата опубликования: 02.12.2019
Страница №78 из 87:
Увеличить