Официальное опубликование правовых актов
ОФИЦИАЛЬНОЕ ОПУБЛИКОВАНИЕ
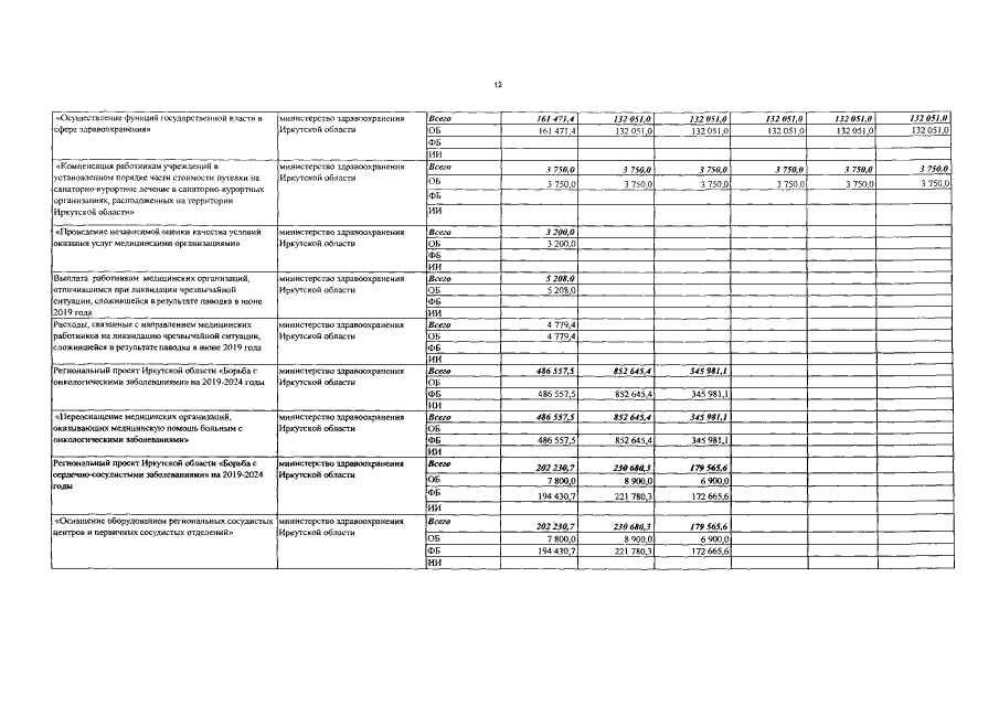
Постановление Правительства Иркутской области от 21.11.2019 № 962-пп
"О внесении изменений в государственную программу Иркутской области "Развитие здравоохранения" на 2019 – 2024 годы"
Номер опубликования: 3800201911250008
Дата опубликования: 25.11.2019
Страница №25 из 49:
Увеличить