Официальное опубликование правовых актов
ОФИЦИАЛЬНОЕ ОПУБЛИКОВАНИЕ
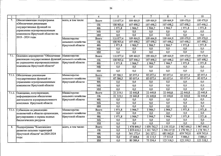
Постановление Правительства Иркутской области от 11.11.2019 № 934-пп
"О внесении изменений в государственную программу Иркутской области "Развитие сельского хозяйства и регулирование рынков сельскохозяйственной продукции, сырья и продовольствия" на 2019 - 2024 годы"
Номер опубликования: 3800201911150005
Дата опубликования: 15.11.2019
Страница №111 из 144:
Увеличить