Официальное опубликование правовых актов
ОФИЦИАЛЬНОЕ ОПУБЛИКОВАНИЕ
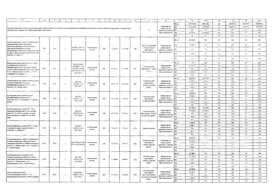
Постановление Правительства Иркутской области от 01.11.2019 № 897-пп
"О внесении изменений в государственную программу Иркутской области "Развитие образования" на 2019 - 2024 годы"
Номер опубликования: 3800201911070007
Дата опубликования: 07.11.2019
Страница №14 из 75:
Увеличить