Официальное опубликование правовых актов
ОФИЦИАЛЬНОЕ ОПУБЛИКОВАНИЕ
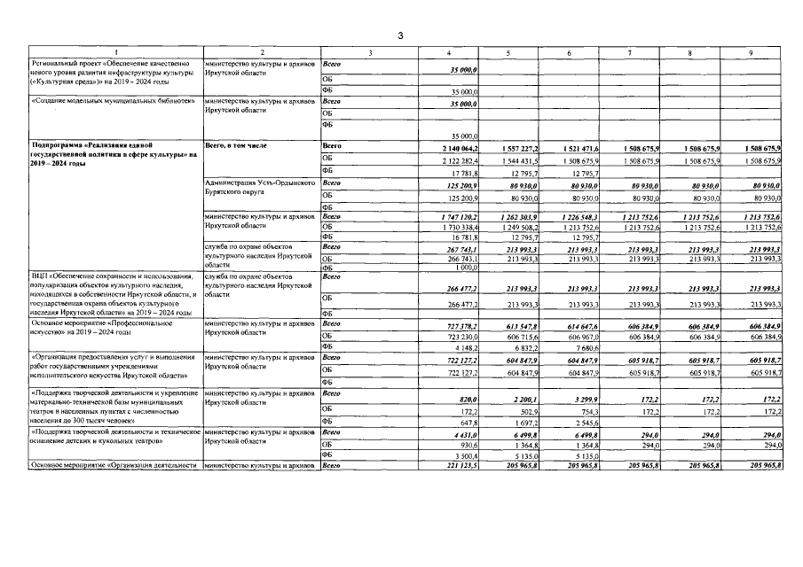
Постановление Правительства Иркутской области от 28.10.2019 № 891-пп
"О внесении изменений в государственную программу Иркутской области "Развитие культуры" на 2019 – 2024 годы"
Номер опубликования: 3800201910300001
Дата опубликования: 30.10.2019
Страница №18 из 38:
Увеличить