Официальное опубликование правовых актов
ОФИЦИАЛЬНОЕ ОПУБЛИКОВАНИЕ
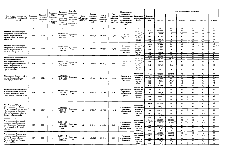
Постановление Правительства Иркутской области от 07.10.2019 № 825-пп
"О внесении изменений в государственную программу Иркутской области "Развитие физической культуры и спорта" на 2019 - 2024 годы"
Номер опубликования: 3800201910110003
Дата опубликования: 11.10.2019
Страница №6 из 21:
Увеличить