Официальное опубликование правовых актов
ОФИЦИАЛЬНОЕ ОПУБЛИКОВАНИЕ
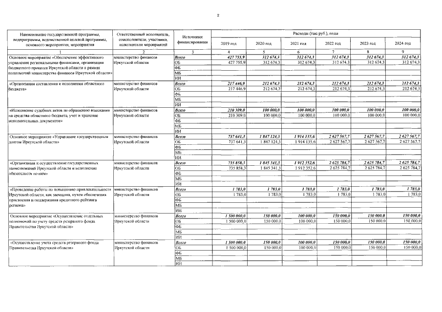
Постановление Правительства Иркутской области от 30.08.2019 № 696-пп
"О внесении изменений в государственную программу Иркутской области "Управление государственными финансами Иркутской области"
Номер опубликования: 3800201909030001
Дата опубликования: 03.09.2019
Страница №10 из 14:
Увеличить