Официальное опубликование правовых актов
ОФИЦИАЛЬНОЕ ОПУБЛИКОВАНИЕ
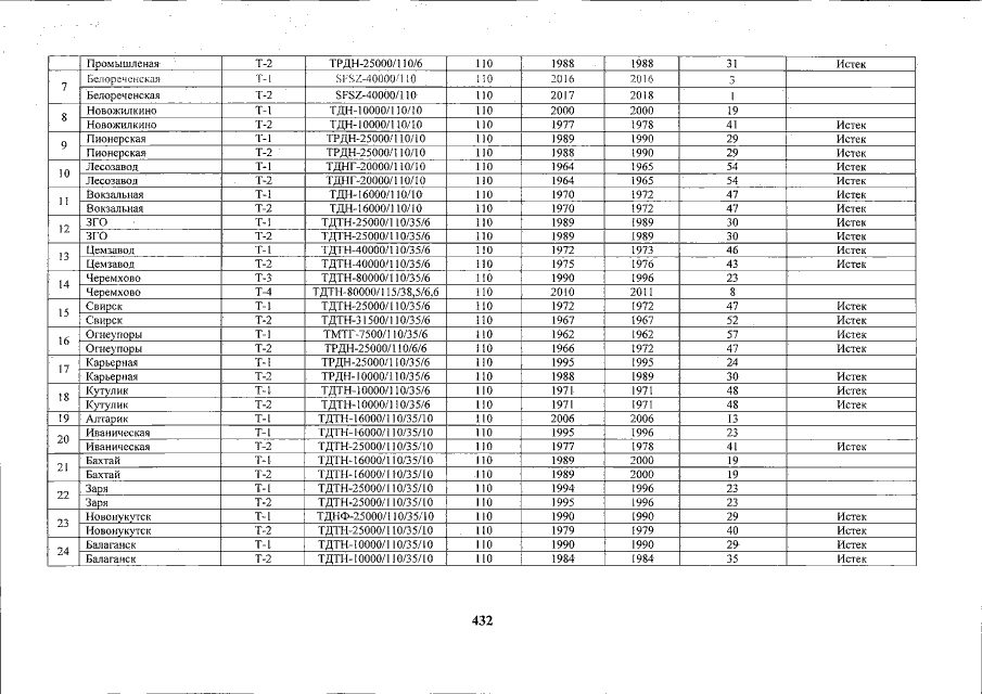
Указ Губернатора Иркутской области от 22.08.2019 № 183-уг
"Об утверждении схемы и программы развития электроэнергетики Иркутской области на 2020-2024 годы"
Номер опубликования: 3800201908230012
Дата опубликования: 23.08.2019
Страница №433 из 471:
Увеличить