Официальное опубликование правовых актов
ОФИЦИАЛЬНОЕ ОПУБЛИКОВАНИЕ
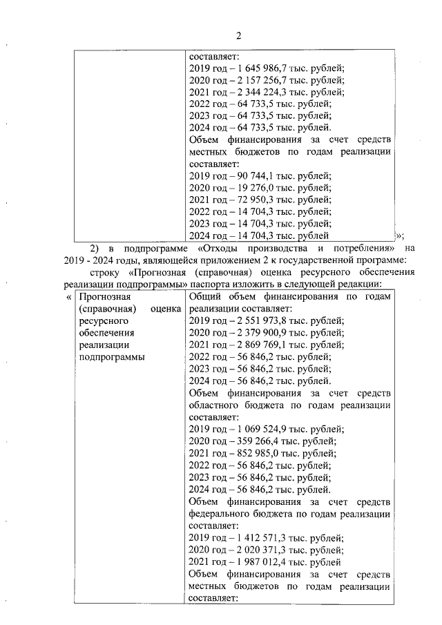
Постановление Правительства Иркутской области от 16.08.2019 № 658-пп
"О внесении изменений в государственную программу Иркутской области "Охрана окружающей среды" на 2019-2024 годы"
Номер опубликования: 3800201908230001
Дата опубликования: 23.08.2019
Страница №2 из 43:
Увеличить