Официальное опубликование правовых актов
ОФИЦИАЛЬНОЕ ОПУБЛИКОВАНИЕ
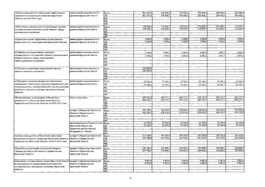
Постановление Правительства Иркутской области от 12.08.2019 № 613-пп
"О внесении изменений в государственную программу Иркутской области "Экономическое развитие и инновационная экономика" на 2019 - 2024 годы"
Номер опубликования: 3800201908150004
Дата опубликования: 15.08.2019
Страница №31 из 32:
Увеличить