Официальное опубликование правовых актов
ОФИЦИАЛЬНОЕ ОПУБЛИКОВАНИЕ
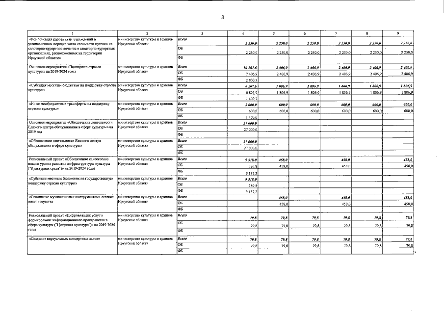
Постановление Правительства Иркутской области от 30.07.2019 № 587-пп
"О внесении изменений в государственную программу Иркутской области "Развитие культуры" на 2019 - 2024 годы"
Номер опубликования: 3800201908010004
Дата опубликования: 01.08.2019
Страница №12 из 25:
Увеличить