Официальное опубликование правовых актов
ОФИЦИАЛЬНОЕ ОПУБЛИКОВАНИЕ
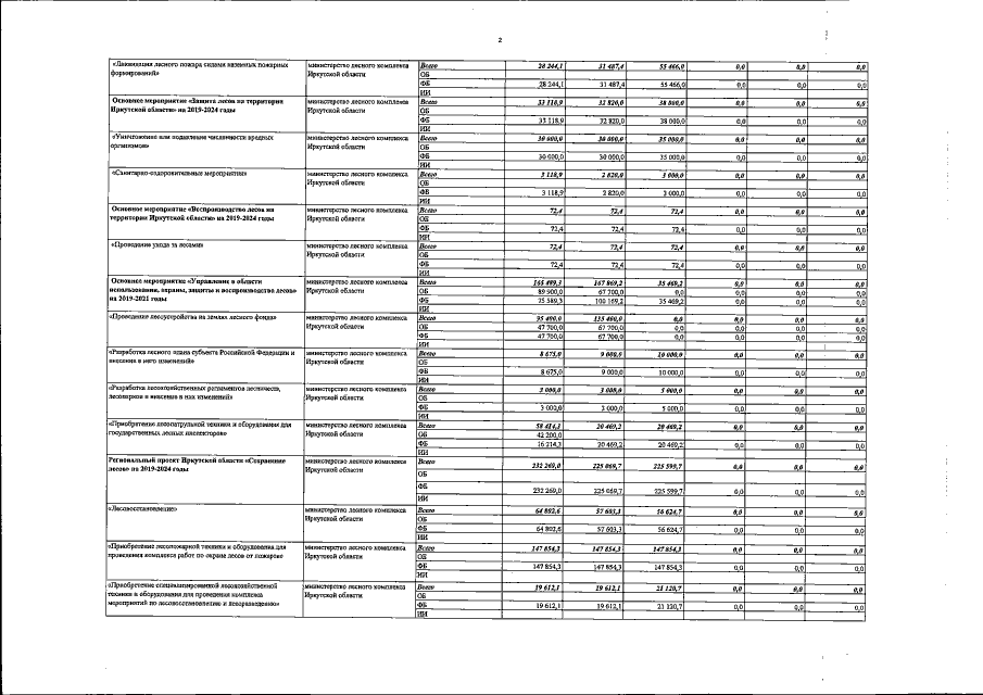
Постановление Правительства Иркутской области от 12.07.2019 № 544-пп
"О внесении изменений в государственную программу Иркутской области "Развитие лесного хозяйства" на 2019 – 2024 годы"
Номер опубликования: 3800201907160009
Дата опубликования: 16.07.2019
Страница №16 из 21:
Увеличить