Официальное опубликование правовых актов
ОФИЦИАЛЬНОЕ ОПУБЛИКОВАНИЕ
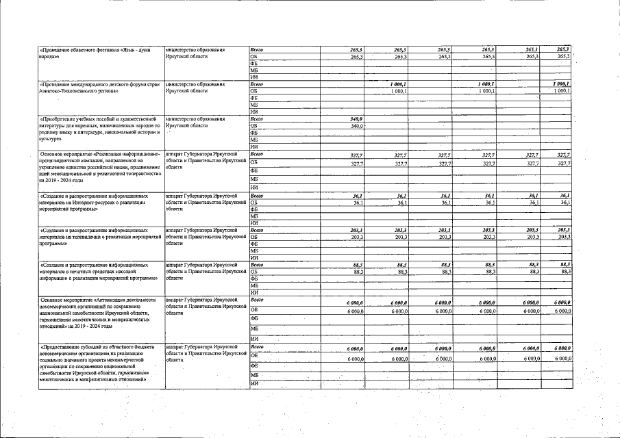
Постановление Правительства Иркутской области от 11.07.2019 № 540-пп
"О внесении изменений в государственную программу Иркутской области "Реализация государственной национальной политики в Иркутской области" на 2019 – 2024 годы"
Номер опубликования: 3800201907120006
Дата опубликования: 12.07.2019
Страница №30 из 53:
Увеличить