Официальное опубликование правовых актов
ОФИЦИАЛЬНОЕ ОПУБЛИКОВАНИЕ
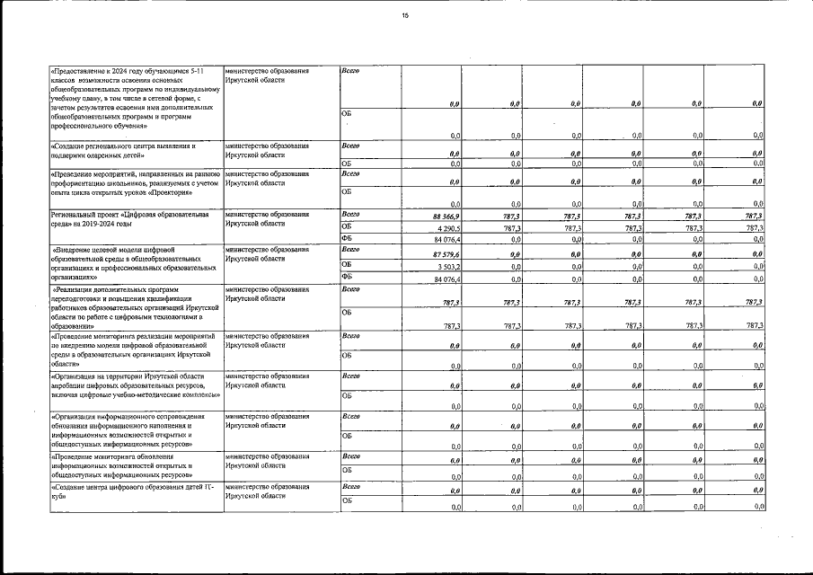
Постановление Правительства Иркутской области от 04.07.2019 № 522-пп
"О внесении изменений в государственную программу Иркутской области "Развитие образования" на 2019 - 2024 годы"
Номер опубликования: 3800201907080004
Дата опубликования: 08.07.2019
Страница №88 из 91:
Увеличить