Официальное опубликование правовых актов
ОФИЦИАЛЬНОЕ ОПУБЛИКОВАНИЕ
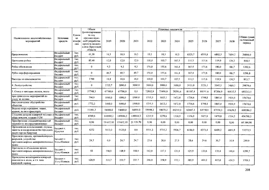
Указ Губернатора Иркутской области от 29.05.2019 № 112-уг
"Об утверждении лесного плана Иркутской области на 2019-2028 годы"
Номер опубликования: 3800201906050007
Дата опубликования: 05.06.2019
Страница №209 из 217:
Увеличить