Официальное опубликование правовых актов
ОФИЦИАЛЬНОЕ ОПУБЛИКОВАНИЕ
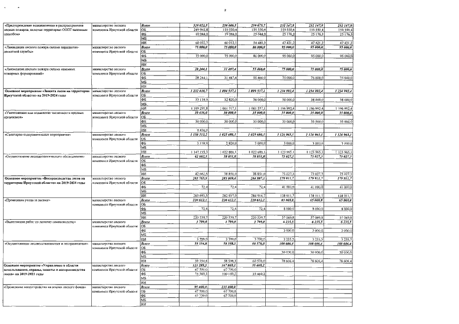
Постановление Правительства Иркутской области от 21.05.2019 № 401-пп
"О внесении изменений в государственную программу Иркутской области "Развитие лесного хозяйства" на 2019 – 2024 годы"
Номер опубликования: 3800201905240008
Дата опубликования: 24.05.2019
Страница №9 из 10:
Увеличить