Официальное опубликование правовых актов
ОФИЦИАЛЬНОЕ ОПУБЛИКОВАНИЕ
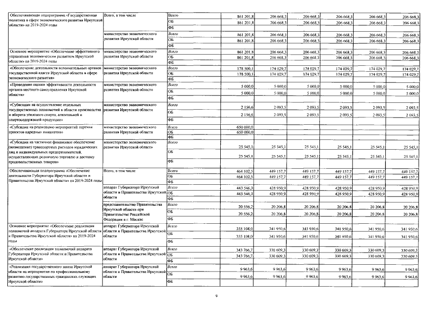
Постановление Правительства Иркутской области от 21.05.2019 № 417-пп
"О внесении изменений в государственную программу Иркутской области "Экономическое развитие и инновационная экономика" на 2019 - 2024 годы"
Номер опубликования: 3800201905240003
Дата опубликования: 24.05.2019
Страница №12 из 25:
Увеличить