Официальное опубликование правовых актов
ОФИЦИАЛЬНОЕ ОПУБЛИКОВАНИЕ
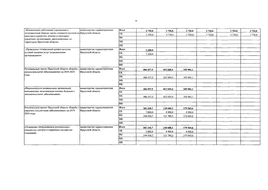
Постановление Правительства Иркутской области от 21.05.2019 № 402-пп
"О внесении изменений в государственную программу Иркутской области "Развитие здравоохранения" на 2019 - 2024 годы"
Номер опубликования: 3800201905240001
Дата опубликования: 24.05.2019
Страница №45 из 72:
Увеличить