Официальное опубликование правовых актов
ОФИЦИАЛЬНОЕ ОПУБЛИКОВАНИЕ
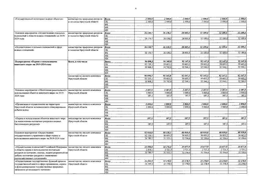
Постановление Правительства Иркутской области от 17.05.2019 № 395-пп
"О внесении изменений в государственную программу Иркутской области "Охрана окружающей среды" на 2019-2024 годы"
Номер опубликования: 3800201905200011
Дата опубликования: 20.05.2019
Страница №38 из 39:
Увеличить