Официальное опубликование правовых актов
ОФИЦИАЛЬНОЕ ОПУБЛИКОВАНИЕ
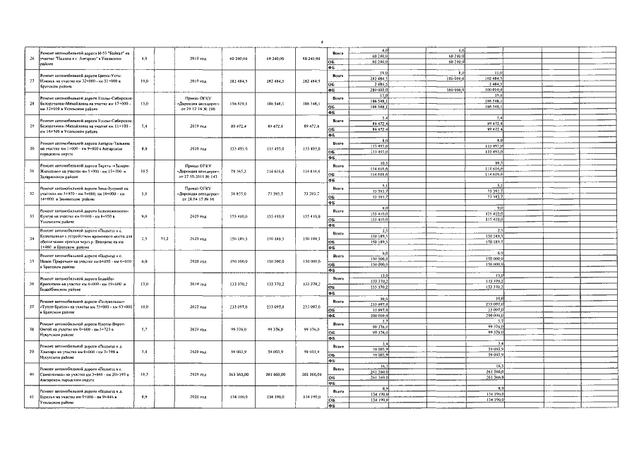
Постановление Правительства Иркутской области от 08.05.2019 № 376-пп
"О внесении изменений в государственную программу Иркутской области "Реализация государственной политики в сфере строительства, дорожного хозяйства" на 2019 - 2024 годы"
Номер опубликования: 3800201905140002
Дата опубликования: 14.05.2019
Страница №9 из 44:
Увеличить