Официальное опубликование правовых актов
ОФИЦИАЛЬНОЕ ОПУБЛИКОВАНИЕ
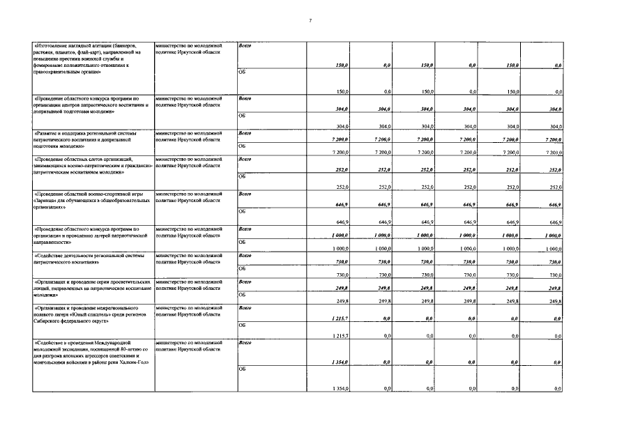
Постановление Правительства Иркутской области от 06.05.2019 № 366-пп
"О внесении изменений в государственную программу Иркутской области "Молодежная политика" на 2019 - 2024 годы"
Номер опубликования: 3800201905070017
Дата опубликования: 07.05.2019
Страница №21 из 44:
Увеличить