Официальное опубликование правовых актов
ОФИЦИАЛЬНОЕ ОПУБЛИКОВАНИЕ
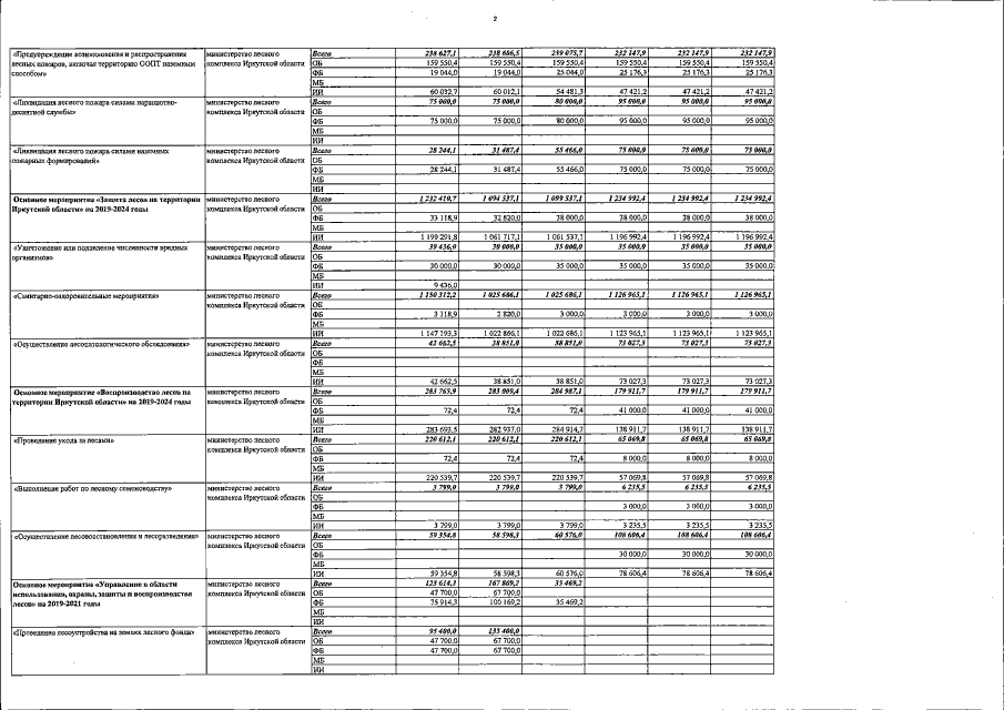
Постановление Правительства Иркутской области от 24.04.2019 № 341-пп
"О внесении изменений в государственную программу Иркутской области "Развитие лесного хозяйства" на 2019-2024 годы"
Номер опубликования: 3800201904290007
Дата опубликования: 29.04.2019
Страница №20 из 21:
Увеличить