Официальное опубликование правовых актов
ОФИЦИАЛЬНОЕ ОПУБЛИКОВАНИЕ
Постановление Правительства Иркутской области от 01.04.2019 № 270-пп
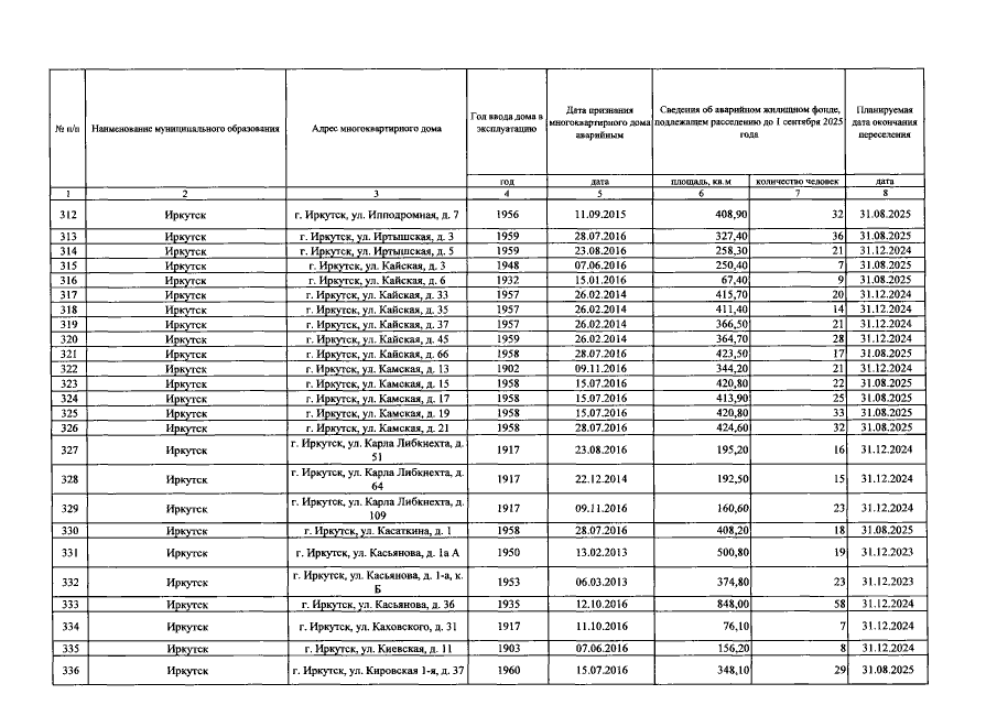
"Об утверждении региональной адресной программы Иркутской области "Переселение граждан, проживающих на территории Иркутской области, из аварийного жилищного фонда, признанного таковым до 1 января 2017 года, в 2019-2025 годах"
Номер опубликования: 3800201904090001
Дата опубликования: 09.04.2019
Страница №28 из 73:
Увеличить