Официальное опубликование правовых актов
ОФИЦИАЛЬНОЕ ОПУБЛИКОВАНИЕ
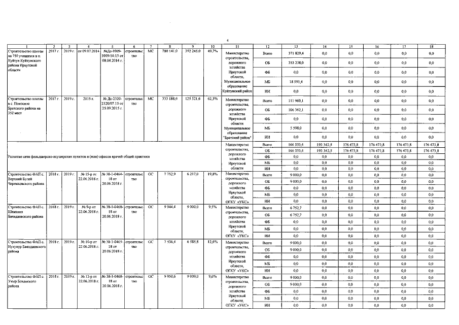
Постановление Правительства Иркутской области от 26.03.2019 № 252-пп
"О внесении изменений в государственную программу Иркутской области "Развитие сельского хозяйства и регулирование рынков сельскохозяйственной продукции, сырья и продовольствия" на 2019- 2024 годы"
Номер опубликования: 3800201903280005
Дата опубликования: 28.03.2019
Страница №13 из 129:
Увеличить