Официальное опубликование правовых актов
ОФИЦИАЛЬНОЕ ОПУБЛИКОВАНИЕ
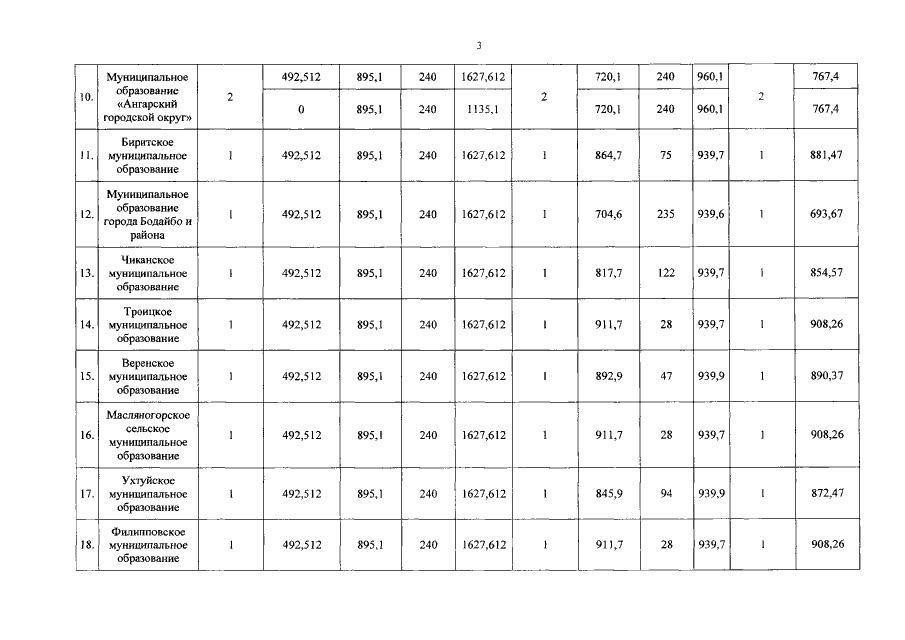
Постановление Правительства Иркутской области от 22.03.2019 № 244-пп
"О внесении изменений в Положение о предоставлении и расходовании субсидий местным бюджетам из областного бюджета в целях софинансирования расходных обязательств муниципальных образований Иркутской области на развитие домов культуры"
Номер опубликования: 3800201903280003
Дата опубликования: 28.03.2019
Страница №5 из 10:
Увеличить