Официальное опубликование правовых актов
ОФИЦИАЛЬНОЕ ОПУБЛИКОВАНИЕ
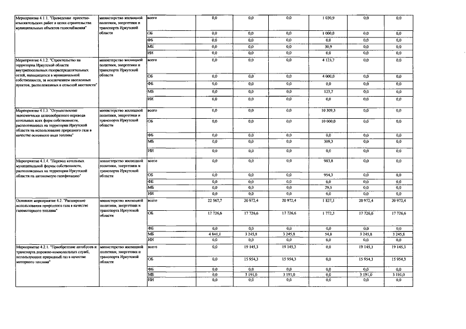
Постановление Правительства Иркутской области от 20.03.2019 № 228-пп
"О внесении изменений в государственную программу Иркутской области "Развитие жилищно-коммунального хозяйства и повышение энергоэффективности Иркутской области" на 2019 - 2024 годы"
Номер опубликования: 3800201903220009
Дата опубликования: 22.03.2019
Страница №39 из 49:
Увеличить