Официальное опубликование правовых актов
ОФИЦИАЛЬНОЕ ОПУБЛИКОВАНИЕ
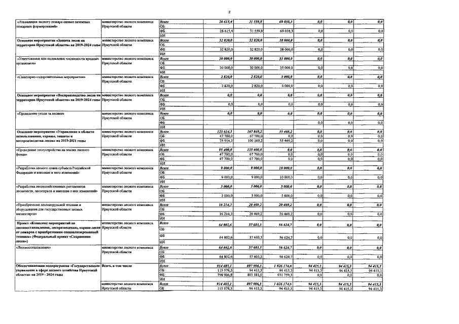
Постановление Правительства Иркутской области от 05.03.2019 № 198-пп
"О внесении изменений в государственную программу Иркутской области "Развитие лесного хозяйства" на 2019-2024 годы"
Номер опубликования: 3800201903070004
Дата опубликования: 07.03.2019
Страница №20 из 24:
Увеличить