Официальное опубликование правовых актов
ОФИЦИАЛЬНОЕ ОПУБЛИКОВАНИЕ
Постановление Правительства Иркутской области от 19.02.2019 № 128-пп
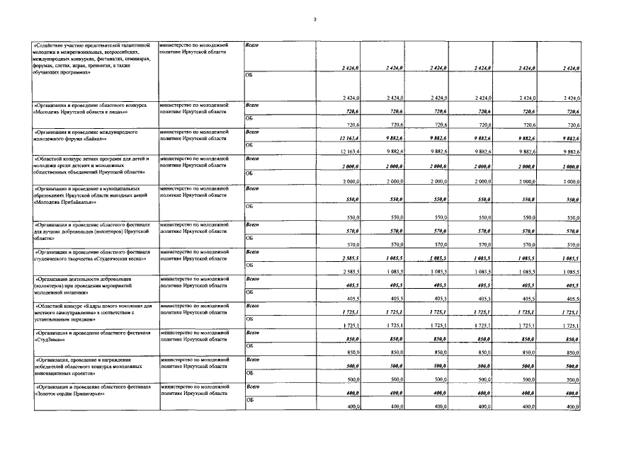
"О внесении изменений в государственную программу Иркутской области "Молодежная политика" на 2019 - 2024 годы и признании утратившим силу постановления Правительства Иркутской области от 28 декабря 2018 года № 973-пп"
Номер опубликования: 3800201902220011
Дата опубликования: 22.02.2019
Страница №16 из 41:
Увеличить