Официальное опубликование правовых актов
ОФИЦИАЛЬНОЕ ОПУБЛИКОВАНИЕ
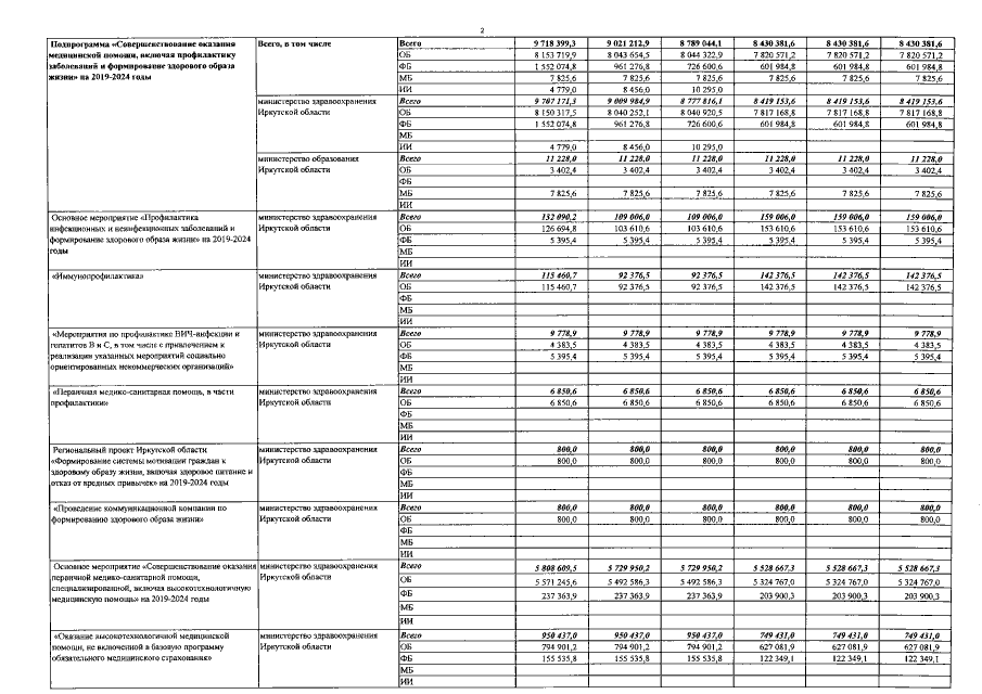
Постановление Правительства Иркутской области от 15.02.2019 № 123-пп
"О внесении изменений в государственную программу Иркутской области "Развитие здравоохранения" на 2019 - 2024 годы"
Номер опубликования: 3800201902220002
Дата опубликования: 22.02.2019
Страница №55 из 89:
Увеличить