Официальное опубликование правовых актов
ОФИЦИАЛЬНОЕ ОПУБЛИКОВАНИЕ
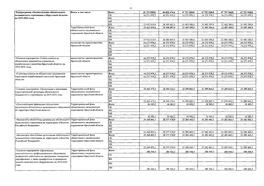
Постановление Правительства Иркутской области от 14.02.2019 № 105-пп
"О внесении изменений в государственную программу Иркутской области "Развитие здравоохранения" на 2019 - 2024 годы и признании утратившими силу отдельных постановлений Правительства Иркутской области"
Номер опубликования: 3800201902190012
Дата опубликования: 19.02.2019
Страница №38 из 57:
Увеличить