Официальное опубликование правовых актов
ОФИЦИАЛЬНОЕ ОПУБЛИКОВАНИЕ
Постановление Правительства Иркутской области от 13.02.2019 № 96-пп
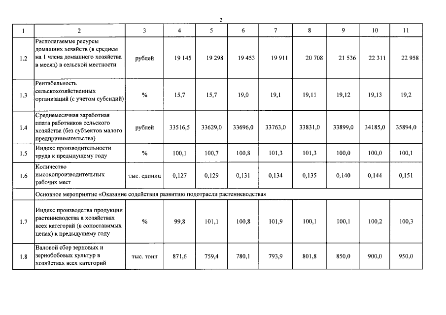
"О внесении изменений в государственную программу Иркутской области "Развитие сельского хозяйства и регулирование рынков сельскохозяйственной продукции, сырья и продовольствия" на 2019 - 2024 годы и признании утратившим силу постановления Правительства Иркутской области от 3 декабря 2018 года № 891-пп"
Номер опубликования: 3800201902180003
Дата опубликования: 18.02.2019
Страница №24 из 119:
Увеличить