Официальное опубликование правовых актов
ОФИЦИАЛЬНОЕ ОПУБЛИКОВАНИЕ
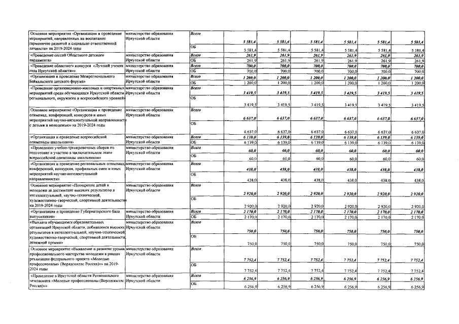
Постановление Правительства Иркутской области от 11.02.2019 № 90-пп
"О внесении изменений в государственную программу Иркутской области "Развитие образования" на 2019 - 2024 годы"
Номер опубликования: 3800201902130012
Дата опубликования: 13.02.2019
Страница №66 из 68:
Увеличить