Официальное опубликование правовых актов
ОФИЦИАЛЬНОЕ ОПУБЛИКОВАНИЕ
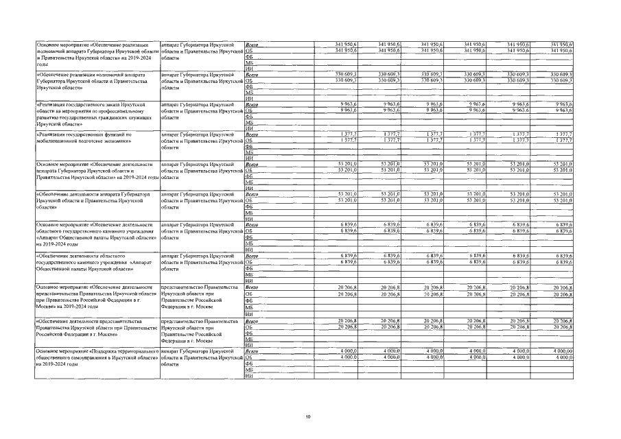
Постановление Правительства Иркутской области от 05.02.2019 № 73-пп
"О внесении изменений в государственную программу Иркутской области "Экономическое развитие и инновационная экономика" на 2019 - 2024 годы"
Номер опубликования: 3800201902070004
Дата опубликования: 07.02.2019
Страница №37 из 38:
Увеличить