Официальное опубликование правовых актов
ОФИЦИАЛЬНОЕ ОПУБЛИКОВАНИЕ
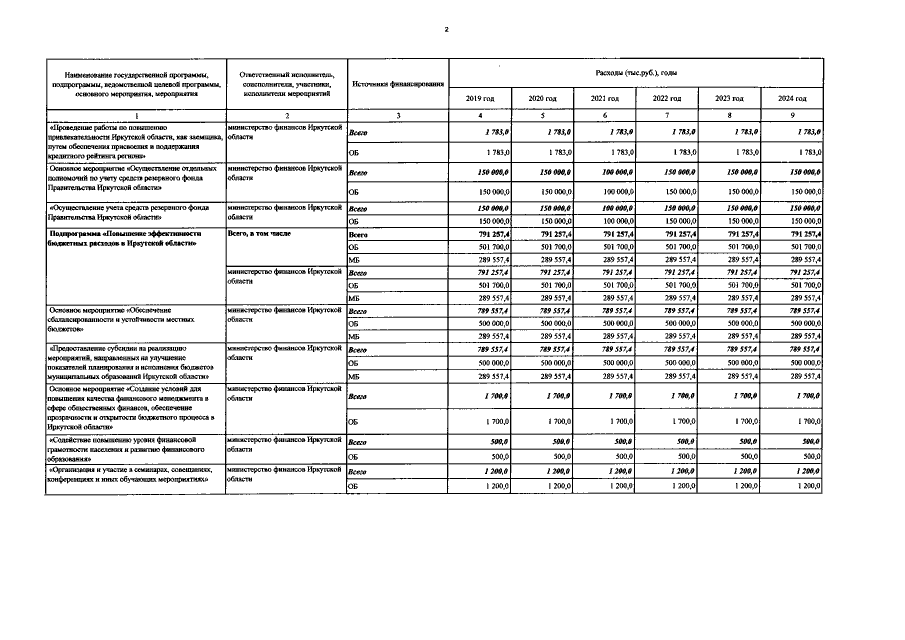
Постановление Правительства Иркутской области от 29.01.2019 № 41-пп
"О внесении изменений в государственную программу Иркутской области "Управление государственными финансами Иркутской области"
Номер опубликования: 3800201901300006
Дата опубликования: 30.01.2019
Страница №8 из 10:
Увеличить