Официальное опубликование правовых актов
ОФИЦИАЛЬНОЕ ОПУБЛИКОВАНИЕ
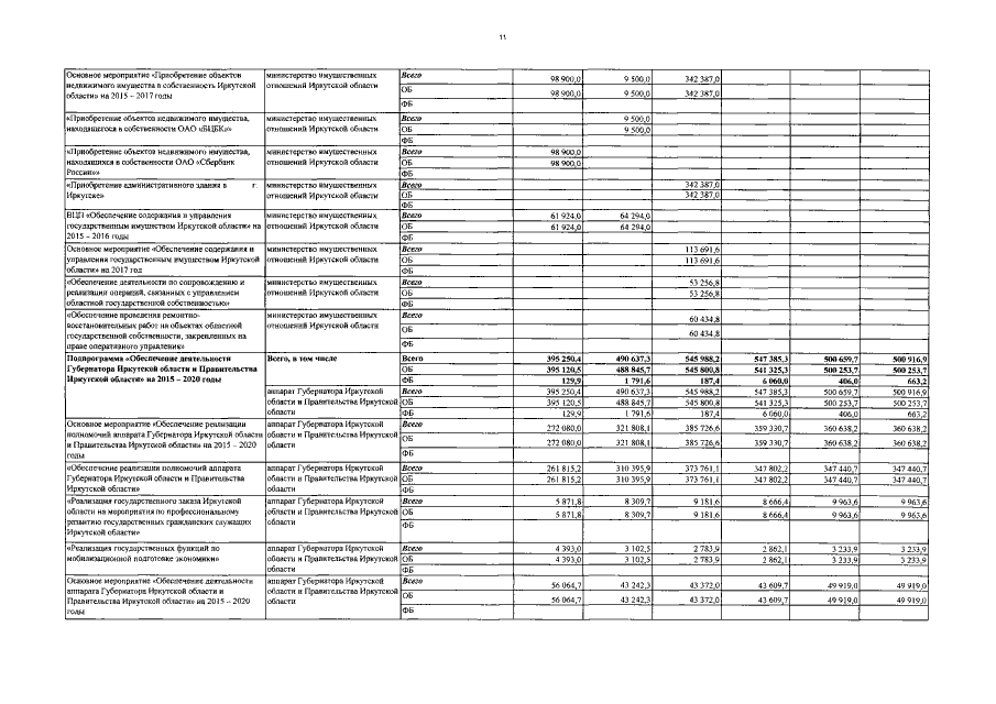
Постановление Правительства Иркутской области от 27.12.2018 № 968-пп
"О внесении изменений в государственную программу Иркутской области "Экономическое развитие и инновационная экономика" на 2015 – 2020 годы"
Номер опубликования: 3800201812280003
Дата опубликования: 28.12.2018
Страница №30 из 63:
Увеличить