Официальное опубликование правовых актов
ОФИЦИАЛЬНОЕ ОПУБЛИКОВАНИЕ
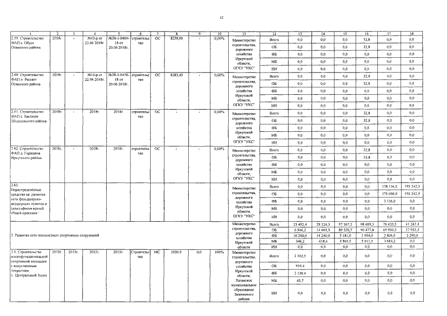
Постановление Правительства Иркутской области от 03.12.2018 № 891-пп
"О внесении изменений в государственную программу Иркутской области "Развитие сельского хозяйства и регулирование рынков сельскохозяйственной продукции, сырья и продовольствия" на 2014 - 2020 годы"
Номер опубликования: 3800201812100006
Дата опубликования: 10.12.2018
Страница №26 из 180:
Увеличить