Официальное опубликование правовых актов
ОФИЦИАЛЬНОЕ ОПУБЛИКОВАНИЕ
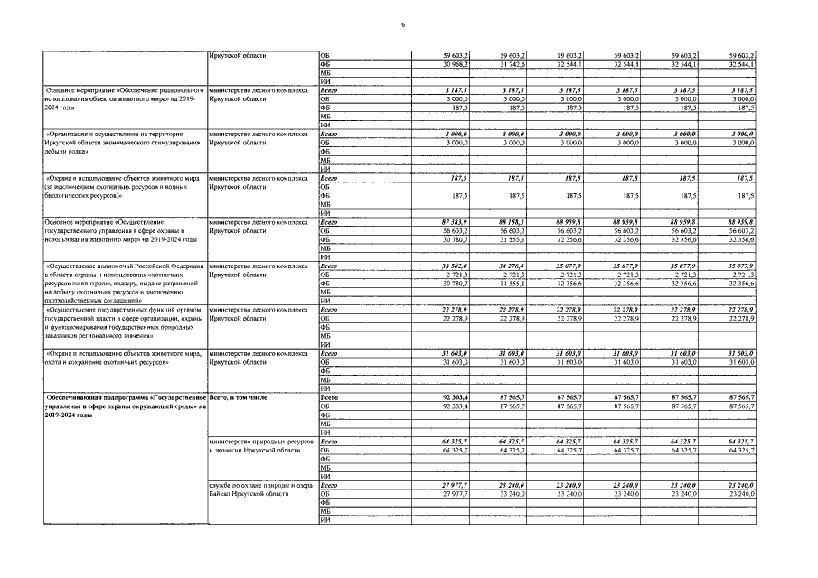
Постановление Правительства Иркутской области от 29.10.2018 № 776-пп
"Об утверждении государственной программы Иркутской области "Охрана окружающей среды" на 2019-2024 годы"
Номер опубликования: 3800201811010002
Дата опубликования: 01.11.2018
Страница №69 из 70:
Увеличить