Официальное опубликование правовых актов
ОФИЦИАЛЬНОЕ ОПУБЛИКОВАНИЕ
Постановление Правительства Иркутской области от 26.10.2018 № 771-пп
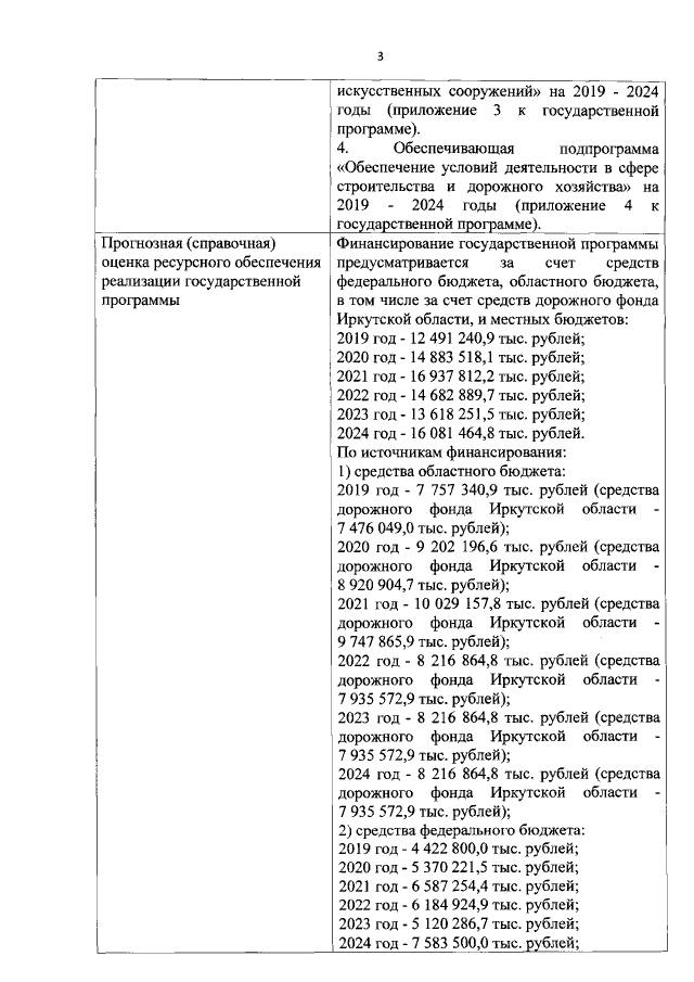
"Об утверждении государственной программы Иркутской области "Реализация государственной политики в сфере строительства, дорожного хозяйства" на 2019-2024 годы и признании утратившими силу отдельных постановлений Правительства Иркутской области"
Номер опубликования: 3800201810300003
Дата опубликования: 30.10.2018
Страница №8 из 67:
Увеличить