Официальное опубликование правовых актов
ОФИЦИАЛЬНОЕ ОПУБЛИКОВАНИЕ
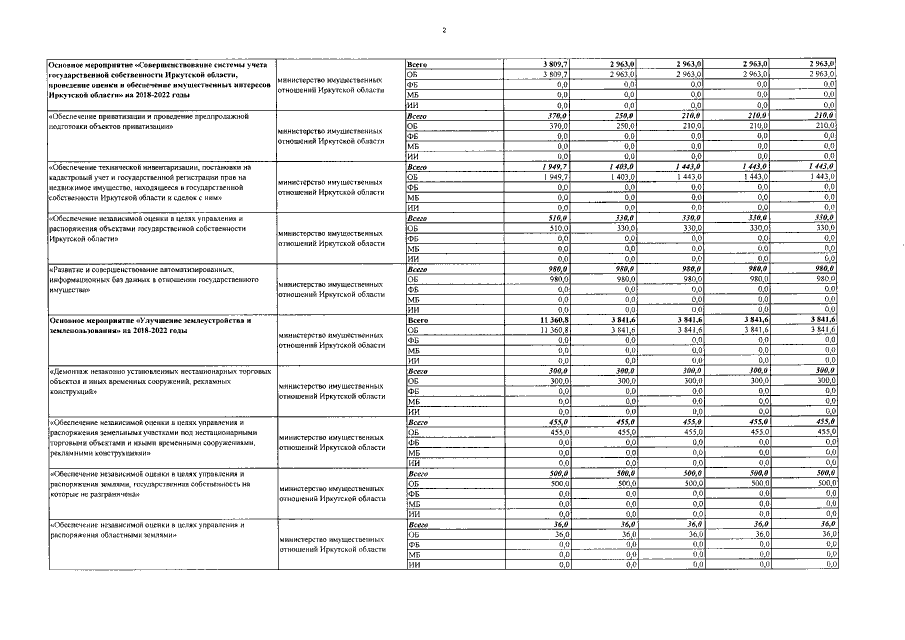
Постановление Правительства Иркутской области от 17.10.2018 № 749-пп
"О внесении изменений в государственную программу Иркутской области "Развитие и управление имущественным комплексом и земельными ресурсами Иркутской области" на 2018 - 2022 годы"
Номер опубликования: 3800201810220012
Дата опубликования: 22.10.2018
Страница №16 из 20:
Увеличить